Données : 2023

PDF

Principaux chiffres de l'activité

Les données des centres clinico-biologiques et des laboratoires autorisés à pratiquer des inséminations intra-utérines permettent de décrire l’ensemble des activités d’assistance médicale à la procréation (AMP) réalisées en France en 2023, ainsi que les tendances constatées entre 2020 et 2023. Il est ainsi possible d’observer l’évolution du volume d’activité des différentes techniques d’AMP, notamment celles liées aux dons, à la préservation de la fertilité ou à l’utilisation de techniques particulières, ou celles liées aux évolutions législatives de 2021 (AMP à partir d’ovocytes et spermatozoïdes de donneurs, accès à l’AMP pour les couples de femmes et femmes non mariées, conservation de gamètes dans un non médical). Cette présentation de l’activité permet d’ouvrir des pistes de réflexion et d’analyses complémentaires.


Par ailleurs, l’Agence de la biomédecine a développé d’autres rapports annuels d’évaluation disponibles sur le site de l’Agence dont notamment :


  • Des fiches régionales décrivant l’activité au niveau de chaque région et proposant des éléments de réflexion aux agences régionales de santé en charge des autorisations d’activité,

  • Des rapports annuels d’évaluation des résultats des centres prenant en compte les caractéristiques de la patientèle (en particulier l’âge des femmes), à destination des centres d’AMP en vue d’amélioration des pratiques.

Chiffres clés de l'activité 2023

Bilan de l'activité


En 2023, le volume d’activité d’AMP a augmenté en raison des nouveaux droits permis par la loi de bioéthique de 2021:164 670 tentatives d’AMP (+ 3,1% par rapport à 2022) ont été recensées, regroupant des inséminations intra-utérines (IIU), des fécondations in vitro (FIV) avec ou sans micro-injection (ICSI) et des décongélations d’embryons congelés[3] avec gamètes et embryons issus ou non d’un don de gamètes ou d’un accueil d’embryons (tableau AMP1, tableau AMP3) ; les activités de conservations de gamètes dans un cadre médical ou non médical ont augmenté de 25 % (18 209 personnes ont bénéficié d’une conservation en 2023, dont 79 % pour motif médical).


Les inséminations intra-utérines


Les IIU (46 653 cycles) occupent une large place au sein des activités d’AMP (28 % de l’ensemble des tentatives). Elles font appel aux spermatozoïdes de donneurs dans 23 % des cas (tableaux AMP1, AMP3). Cette proportion est en augmentation (+ 12 points par rapport à 2022, + 18 points par rapport à 2021) depuis l’ouverture de l’accès à l’AMP aux couples de femmes et femmes non mariées. Souffrant dans de moindres mesures de problèmes de fertilité en comparaison des couples hommes/femmes pris en charge, ces dernières débutent majoritairement leur parcours par des cycles d’inséminations.


Les cycles d’inséminations, moins invasifs et coûteux qu’une fécondation in vitro contribuent à 21,1 % (n= 5 790) des naissances issues d’une AMP répertoriée en 2023 (14,8 % pour les IIU avec spermatozoïdes du conjoint et 6,3% pour les IIU avec spermatozoïdes issus de tiers donneur).


Les ponctions d’ovocytes


Les prélèvements d’ovocytes en vue de fécondation in vitro réalisés pour près de 50 000 couples ou femmes non mariées représentent 60 158 ponctions auxquelles il faut ajouter les prélèvements d’ovocytes en vue de don (n=912, tableau AMP37) et ceux en vue de conservation d’ovocytes en vue de projet parental ultérieur. Les autoconservations médicales et non médicales d’ovocytes ont été réalisées pour respectivement 4 621 et 3 645 patientes (tableau AMP81, tableau AMP86).


Au total près de 70 000 ponctions ont été réalisée en 2023 (près de 66 500 en 2022 soit +5%).


[3]Dans la totalité du document on entend par « embryons congelés » à la fois les embryons congelés par la technique de congélation lente et par la technique de congélation rapide (la vitrification), ainsi que les embryons congelés à un stade précoce (J2-J3) ou à un stade plus tardif (stade blastocyste).

Figure AMP1 Ponctions d’ovocytes selon leur finalité, en 2023 en France. Nombre total de ponctions : près de 70 000.

Télécharger le fichier

Les fécondations in vitro en vue de transfert d’embryons, les transferts d’embryons et les décongélations embryonnaires


Le recours à l’ICSI est stable depuis plusieurs années et représente 66,8 % de l’ensemble des tentatives de fécondation in vitro quelle que soit l’origine des gamètes utilisés (tableau AMP1). On peut remarquer que la pratique de l’ICSI est principalement choisie lorsqu’il est fait appel à des ovocytes ou des spermatozoïdes issus de don (respectivement 99 % et 91 %, tableau AMP1).


En 2023, 32 975 actes de transferts d’embryons frais ont été réalisés par les centres clinico-biologiques (38% des actes de transfert embryonnaire) et ont permis la naissance de 30,8% (n=8 457) des enfants issus d’une AMP réalisée en 2023.


En outre, les décongélations embryonnaires continuent leur progression (+2,4 % par rapport à 2022, +7,5 % par rapport à 2021) et concernent en 2023, 47 % des tentatives d’AMP hors inséminations intra-utérines (45,5 % en 2020, 46,7 % en 2022). Ces embryons issus de fécondations in vitro réalisées en 2023 ou antérieurement, sont des chances supplémentaires de concrétiser le projet d’enfant des couples et des femmes non mariées. Ces tentatives de transfert d’embryons congelés ont été réalisées en 2023 pour près de 38 500 couples ou femmes non mariées et ont contribué à faire naitre 48,1% (n=13 208) des enfants issus d’une d’AMP réalisée en 2023.


Les activités d’AMP avec tiers donneurs


Les tentatives d’AMP (IIU, FIV hors ICSI, ICSI et décongélations d’embryons) sont réalisées (tableaux AMP1 et AMP3) avec les gamètes des deux membres du couple dans 87,6 % des cas (93,3 % en 2022), et avec des ovocytes, des spermatozoïdes, ou des embryons issus d’un don dans 12,4 % des cas (6,6% en 2022, 4,3 % en 2021). Ces proportions évoluent depuis l’ouverture de l’AMP aux couples de femmes et femmes non mariées et l’autorisation de recours à une AMP à partir d’un double don de gamètes (dons d’ovocytes et spermatozoïdes).


Ces activités d’AMP avec tiers donneurs, ne peuvent être rendues possibles que si les dons sont suffisants pour répondre à la demande, l’offre sur le territoire adaptée et les démarches d’accès facilitées pour les usagers et les centres autorisés. Aujourd’hui, bien qu’une montée en charge de l’activité soit observée, des limites au développement demeurent (cf. chapitre don d’ovocytes, don de spermatozoïdes, double don de gamètes) et sont à l’origine de délais de prise en charge qui ne cessent de croitre.


Par ailleurs parmi les tentatives réalisées avec des gamètes de tiers donneurs, les tentatives avec spermatozoïdes de donneurs sont majoritaires (85,6 %, tableau AMP1, tableau AMP3) ; les tentatives avec double don de gamètes, autorisées par la loi de 2021, ont débuté en 2022 (1 seule tentative) et sont de 109 en 2023 (0,5 %). Le don d’ovocytes et l’accueil d’embryons, représentent 12,6 % et 1,2% de ces tentatives en 2023.


Les transferts d’embryons issus de tiers donneur de spermatozoïdes (FIV et IIU) et d’accueil d’embryons (n=7 043) ont permis en 2023, la naissance de 3 408 enfants, soit 12,4 % des enfants issus d’une AMP de 2023 (6,6% en 2022).

Figure AMP2. Statut matrimonial des personnes ayant eu recours à une AMP avec don de spermatozoïdes en 2023, par technique utilisée*

Télécharger le fichier

Figure AMP3. Répartition des tentatives d’AMP (inséminations et transferts d’embryons frais et congelés), selon l’origine des gamètes.

Télécharger le fichier

Figure AMP4. Répartition des tentatives d’AMP en 2023, selon leur finalité : projet parental en cours (inséminations et transferts d’embryons frais et congelé) ou différé (conservation pour un usage ultérieur).

Télécharger le fichier

Les enfants issus d’une AMP


  • Au total près de 28 440 enfants[4] sont nés d’une AMP réalisée au cours de l’année 2023 (27 700 en 2022, 28 340 en 2021), dont 12,4 % d’enfants issus d’un don (près de 3 460 enfants[5], tableau AMP1). Ces enfants représentent 4 % des enfants nés en France en 2023. On estime que près d’un enfant sur 24 est issu d’une AMP (1/27 en 2022).

  • [4] Ce chiffre inclut le nombre d’enfants nés vivants et une estimation du nombre d’enfants nés vivants parmi les enfants dont le statut vital est inconnu considérant 1,5% d’enfants morts nés (incluant les IMG réalisées sur des fœtus de plus de 22 semaines d’aménorrhée ou de plus de 500g).

  • [5] Ce chiffre inclut le nombre d’enfants nés vivants et une estimation du nombre d’enfants nés vivants parmi les enfants dont le statut vital est inconnu considérant 1,5% d’enfants morts nés (incluant les IMG réalisées sur des fœtus de plus de 22 semaines d’aménorrhée ou de plus de 500g).

Figure AMP5. Enfants nés vivants*, selon l’origine des gamètes, quelle que soit la technique

Télécharger le fichier

Figure AMP6. Enfants nés vivants*, selon la technique et selon l’origine des gamètes.

Télécharger le fichier

Figure AMP7. Indication médicale à conserver des gamètes : évolution du nombre de nouvelles conservations et du nombre de tentatives d’AMP.

Télécharger le fichier

Figure AMP8. Nombre de structures réalisant de l’AMP en France, selon les autorisations qu’elles détiennent, en 2023

Par exemple, parmi les 106 centres autorisés à réaliser des fécondations in vitro, 58 sont autorisés pour le recueil et la conservation des gamètes et tissus germinaux.
Télécharger le fichier

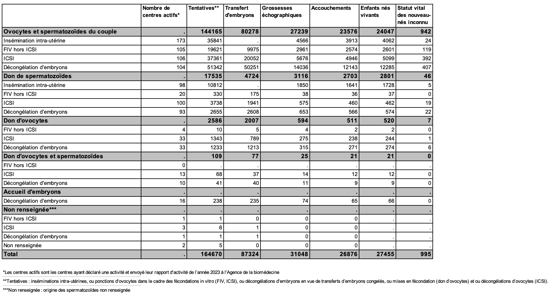
Tableau AMP1. Résumé de l'activité et des résultats d'AMP en 2023

Télécharger le fichier

Taux de grossesses et d'accouchements

Les différences observées sur les taux de grossesse et d’accouchement en fonction des techniques et de l’origine des gamètes (figures AMP10 et AMP11) sont liées aux indications de ces différentes techniques d’AMP (causes de l’infertilité, pathologies associées, etc.), aux procédés eux-mêmes et aux caractéristiques des patients (âge, indice de masse corporelle…).


Des chances de succès supplémentaires sont offertes aux couples dès lors qu’il a été possible de conserver des embryons surnuméraires. Dans 57 % des tentatives de fécondation in vitro réalisées en 2023, une congélation embryonnaire a été effectuée. Les couples peuvent ainsi bénéficier d’un ou de plusieurs transferts embryonnaires supplémentaires en cas d’échec d’un transfert d’embryons frais ou congelé, ou bien mener à bien un nouveau projet parental.


Les chances de réussite de l’AMP après décongélation d’embryons (23,7 % d’accouchements par décongélation en intraconjugal ou avec don de spermatozoïdes) sont d’ailleurs en amélioration continue (23,2% en 2022, 21,2% en 2019) : Le recours à la culture prolongée qui concerne 85,9 % des transferts d’embryons congelés (contre respectivement 57,9 % et 51,0 % des transferts d’embryons frais après FIV hors ICSI et ICSI, tableau AMP92), les avancées techniques liées à la congélation, et la pratique de la congélation dont celle de toute la cohorte embryonnaire transférable choisie pour partie pour des patientes à « bon pronostic » peut expliquer les résultats supérieurs après décongélation d’embryons.


Tableau AMP2. Taux d’accouchements selon la technique et le recours à des tiers donneurs, tous âges confondus.

Télécharger le fichier

Figure AMP9. Taux d’accouchements selon l’âge de la femme, le type d’AMP et le recours ou non au don de spermatozoïdes

Télécharger le fichier

Figure AMP10. Taux de grossesses échographiques par tentative* d'AMP selon le type d'AMP et l'origine des gamètes en 2023

Télécharger le fichier

Figure AMP11. Taux d'accouchements par tentative* d'AMP selon le type d'AMP et l'origine des gamètes en 2023

Télécharger le fichier

Figure AMP12. Taux d'accouchements par transfert d'embryon(s) selon le type d'AMP et l'origine des gamètes en 2023

Télécharger le fichier

Enfants issus d'une AMP

Selon l’INSEE[6], en 2023, 677 803 nouveau-nés ont vu le jour en France (-6,6 % par rapport à 2022). Les enfants nés vivants, issus d’une AMP réalisée en 2022, au nombre de 27 455, représentent 4 % des enfants nés de la population générale. Ce nombre d’enfants nés est modérément sous-estimé en raison des 995 enfants nés après AMP réalisée en 2023 dont le statut vital n’a pas été renseigné dans les données transmises[7]. La proportion d’enfants conçus par AMP parmi les enfants nés chaque année en France poursuit depuis plusieurs année sa progression, après la baisse propre au contexte sanitaire constatée en 2020 (2,6 % en 2009, 3,6 % en 2019, 2,7 % en 2020, 3,7% en 2022).


On estime que près d’un enfant sur 24 est issu d’une AMP (1/27 en 2022).


La figure AMP13 montre à la fois la part respective des enfants nés selon les techniques d’AMP, et la part des enfants nés selon l’origine des gamètes. On note ainsi parmi les 27 455 enfants nés issus d’une AMP réalisée en 2023 :

  • 30,8 % (8 457 enfants) sont nés après un transfert immédiat d’embryons issus d’une fécondation in vitro (FIV hors ICSI et ICSI). Cette proportion a diminué de 2,4 points (33,2 % en 2022, 36,9 % en 2021).

  • 48,1 % (13 208 enfants) sont issus d’une décongélation embryonnaire. Ce nombre en constante augmentation (16,1 % en 2013, 37,4 % en 2019, 47,4 % en 2022) témoigne de la diminution du nombre moyen d’embryons transférés à chaque transfert, et de la place croissante des transferts différés d’embryons dans la stratégie de prise en charge des couples et des femmes en AMP.

  • Ces évolutions sont favorisées par la vitrification embryonnaire, la meilleure survie des embryons après réchauffement, et pour partie le développement de la culture prolongée.

  • 21,1 % (5 790 enfants) ont été conçus par insémination intra-utérine, technique d’AMP la plus simple à mettre en place, la moins invasive et la moins coûteuse. En hausse de 1,7 points (19,4 % en 2022), l’insémination intra-utérine vient ici confirmer sa place au sein des traitements de l’infertilité.


[6] Source : https://www.insee.fr/fr/statistiques/2381380#tableau-figure1

[7] Cf. Matériel et méthodes

Figure AMP13. Part des enfants nés après AMP en 2023 selon les techniques d'AMP quelle que soit l'origine des gamètes et des embryons (N=27455)

Télécharger le fichier

Evolution de l'activité d'AMP depuis 2020

En 2023, le volume global des activités d’AMP a augmenté tant pour répondre aux demandes de projet immédiat d’enfants, ou de conservation de gamètes et tissus germinaux en vue de projet différé (+ 3,1 % de tentatives, + 25 % de conservation de gamètes par rapport à 2022). Etant donné la pandémie de SARS-COV2, l’année 2020 a été singulière, les centres d’AMP ont connu une période d’arrêt suite aux recommandations de l’Agence de la biomédecine de report des activités cliniques et biologiques entre le 25 mars et le 13 mai 2020, entrainant une baisse d’activité, puis ont rattrapé le retard accumulé au cours de l’année 2021.


En outre, on remarque :

  • Une diminution des inséminations intra-utérines réalisées avec spermatozoïdes du conjoint (-7,7 % par rapport à 2022, -20,7 % par rapport à 2021) parallèlement à une multiplication par 2,2 des inséminations avec spermatozoïdes de donneur (x 4,3 par rapport à 2021) conséquence de l’accès à l’AMP aux couples de femmes et femmes non mariées (près de 80 % des usagers pris en charge en 2023). Cette technique occupe toujours une large place au sein des activités d’AMP : 28 % de l’ensemble des tentatives de 2023.

  • Le taux de succès après insémination avec spermatozoïdes de donneurs qui étaient ces 3 dernières années proche de 20 % diminue depuis 2022 (17 % en 2022, 15,2 % en 2023). Les taux succès en intraconjugal sont quant à eux stables (10 %).

  • Une hausse du nombre de décongélations d’embryons en vue de TEC (+2,4% entre 2022 et 2023, + 7,5% entre 2021 et 2023). Les décongélations embryonnaires représentent plus d’un tiers des tentatives (34 % en 2023). Cette proportion augmente chaque année (32 % en 2020), ce qui traduit l’évolution des pratiques avec le développement du transfert mono-embryonnaire, la technique de vitrification embryonnaire et la culture prolongée, l’objectif poursuivi de l’ensemble des équipes étant de limiter le nombre de grossesses multiples et augmenter les chances d’obtenir une naissance à partir d’une seule tentative.

  • Le recours à l’ICSI, technique pratiquée en fonction des paramètres spermatiques et ovocytaires (lors de vitrification préalable) et afin de minimiser les échecs de fécondation, représente 66,8 % de l’ensemble des tentatives de fécondation in vitro quelle que soit l’origine des gamètes utilisés. Ce chiffre est stable depuis plusieurs années.

  • Une hausse du recours à l’accueil d’embryons et au double don de gamètes une des alternatives à l’accueil d’embryons en hausse depuis 2023.

  • Un recrutement des donneurs de spermatozoïdes qui se stabilise : on notait en 2022 une nette progression du nombre de donneurs (+ 79 %), en 2023 cette tendance ne s’est pas poursuivie, le nombre de donneurs diminue de 3 %. Or le recrutement des donneurs de spermatozoïdes est nécessaire pour constituer le nouveau stock de paillettes de spermatozoïdes (stock de donneurs ayant consenti à donner accès à leur origine) et sera un enjeu pour répondre à la demande massive des couples de femmes et des femmes non mariées, et éviter toute situation de pénurie.

  • Un meilleur accès à la préservation médicale de la fertilité permis notamment par un nombre croissant de centres autorisés : annuellement le nombre de patients bénéficiant d’une conservation de gamètes en vue d’une préservation médicale de la fertilité visant à donner la possibilité de recourir à une AMP pour un projet parental ultérieur croit, évoquant que le recours à cette possibilité est facilité : 9 838 (7 443 en 2021, + 32 % par rapport à 2021), 4 621 (3 075 en 2021, + 50 %) de personnes ayant respectivement conservé leurs spermatozoïdes et leurs ovocytes.

  • Un droit d’accès à la conservation des ovocytes sans motif médical davantage connu et mis en œuvre par les équipes d’AMP : depuis 2022, date de début de l’autorisation de conservation autologue sans motif médical, près de 5 400 femmes ont pu bénéficier d’une conservation d’ovocytes. Cette activité a doublé entre 2022 et 2023 (1 759 vs 3 645) et représente en 2023, 5 % des ponctions d’ovocytes toutes finalités confondues. Une mesure d’impact de cette disposition législative sera à réaliser dans les années à venir afin d’évaluer le délai avant utilisation, les chances de réussite et la proportion de femmes qui utiliseront leurs ovocytes ou les donneront pour un couple ou une femme en parcours d’AMP.


Tableau AMP3. Evolution de l'activité globale d'AMP entre 2020 et 2023

Télécharger le fichier

Globalement, les taux d’implantation embryonnaire augmentent progressivement au cours de ces dernières années quelle que soit la technique (tableaux AMP5). Cette évolution peut être liée à la hausse des transferts d’embryons obtenus après culture prolongée (cf. Culture embryonnaire prolongée).


En parallèle, l’évolution croissante du transfert mono-embryonnaire se poursuit (tableau AMP3) : ces transferts représentent en 2023, 78,4 % des transferts réalisés après fécondation in vitro (FIV ou ICSI) (73,5 % en 2022, 60,6 % en 2019), et 91,1 % des transferts d’embryons décongelés (88,9 % en 2022, 80,2 % en 2019).


Cette approche stratégique combinée à une amélioration des taux d’implantation conduit à une diminution progressive de la part des grossesses multiples (4,5 % en 2022 contre 8 % en 2020 après FIV/ICSI, 3,4% contre 4,8 % après TEC), limitant ainsi les risques durant la grossesse pour la santé des femmes et des enfants à naître.


La proportion de grossesses multiples après IIU est supérieure à celle observée après fécondation in vitro (7,2 % en 2023, tableau AMP4).

Tableau AMP4. Nombre d'embryons transférés et accouchements multiples de 2020 à 2023*

Télécharger le fichier

Tableau AMP5. Evolution des taux d'implantation selon les techniques de 2020 à 2023

Télécharger le fichier

Tableau AMP6. Evolution de l'âge des femmes à l'insémination ou à la ponction en vue de fécondation in vitro de 2020 à 2023, quelle que soit l'origine des gamètes et la technique utilisée

Télécharger le fichier