Données : 2024

PDF

Greffe cardiaque

Synthèse de l'activité

Depuis 1968, année de la première greffe cardiaque enregistrée dans CRISTAL, 16 538 greffes cardiaques ont été réalisées. Le nombre estimé de malades vivant avec un greffon fonctionnel au 31 décembre 2024 est de 5 408.


L’année 2024 a été caractérisée par une augmentation du nombre de greffes cardiaques de 8%. Cette évolution s’est produite dans un contexte d’augmentation du nombre de greffons cardiaques prélevés chez les sujets en mort encéphalique de 6% et d’augmentation du nombre de nouveaux inscrits de 6%. Ainsi, la situation de la greffe cardiaque est revenue à un niveau proche de celui observé en 2019, avant la pandémie. L’offre de soins est restée inchangée depuis 2023, date de l’ouverture d’un centre à la Réunion.


Alors que l’accès à la greffe a été stable, avec une incidence cumulée de greffe de 72% à un an pour les nouveaux candidats inscrits en attente entre 2018 et 2024, 73 patients parmi les 942 candidats prévalents et incidents, sont décédés en liste d’attente ou sortis de liste pour aggravation en 2024 (taux d’incidence de décès ou aggravations pour 1000 patients-année de 175.8 en 2024 versus 157.4 en 2023). Cette situation a été observée sans que ne soit constaté un changement de profil des candidats. Aussi, l’Agence de la biomédecine, travaille en concertation avec les sociétés savantes de réanimation et de transplantation cardiaque, afin de permettre le prélèvement cardiaque chez les donneurs décédés en arrêt circulatoire dans le cadre d’une limitation des thérapeutiques (Maastricht 3). Le faible nombre de greffes réalisées à partir de greffons préservés sur une machine de perfusion a pour sa part conduit l’Agence de la biomédecine à élaborer une demande de financement en routine de ces dispositifs, dans le cadre des indications définies par la Société Française de Chirurgie Thoracique et Cardio-Vasculaire.


Alors que le pourcentage de greffes réalisées chez les adultes dans le cadre d’une exception à la règle commune du score de répartition des greffons cardiaques (composante expert) tend à augmenter, un groupe de travail comprenant des professionnels et des usagers du système de santé sera mis en place début 2025.


Les résultats de la greffe cardiaque, au premier rang desquels l’incidence des dysfonctions précoces de greffon et la survie après la greffe, sont inchangés depuis 2009. La mise en place du score de répartition des greffons cardiaques, en 2018, fondé sur l’urgence n’a pas eu d’effet délétère sur la survie après la greffe.

Devenir des candidats en liste d'attente

Liste d'attente

Tableau C1. Évolution du devenir des candidats à une greffe cardiaque

Télécharger le fichier

Tableau C2. Évolution des principaux indicateurs de pénurie en greffe cardiaque

Télécharger le fichier

Tableau C3. Caractéristiques démographiques des donneurs de greffon cardiaque et des candidats inscrits selon leur devenir en liste d'attente en 2024

Télécharger le fichier

Tableau C4. Caractéristiques à l'inscription des candidats selon leur devenir en liste d'attente de greffe de coeur en 2024

Télécharger le fichier

Tableau C5. Evolution du nombre de nouveaux inscrits en attente d'une greffe cardiaque selon l’indication

Télécharger le fichier

Devenir en liste d’attente

Tableau C6. Evolution sur les trois premières années du devenir des malades inscrits pour la première fois en liste d'attente cardiaque en 2021 (N= 529)

Télécharger le fichier

Figure C1. Taux d'incidence cumulée de greffe et de décès ou de sortie de liste d'attente de greffe cardiaque pour aggravation des nouveaux inscrits selon la période d'inscription (1995-2024)

Télécharger le fichier

Figure C2. Taux d'incidence cumulée de greffe et de décès ou de sortie de liste d'attente de greffe cardiaque pour aggravation des nouveaux inscrits (2018-2024)

Télécharger le fichier

Figure C3 Taux d'incidence cumulée de greffe et de décès ou de sortie de liste d'attente de greffe cardiaque pour aggravation des nouveaux inscrits (2018-2024)

(Exclusion du temps passé en liste inactive et des malades sortis de liste ou décédés en attente avant d'avoir eu une inscription active*)
Télécharger le fichier

Figure C4. Taux d'incidence cumulée de greffe et de décès ou de sortie de liste d'attente de greffe cardiaque pour aggravation des nouveaux inscrits selon le type d'assistance cardiaque à l'inscription (2018-2024)

Télécharger le fichier

Tableau C7. Taux d'incidence cumulée de greffe des nouveaux inscrits sur liste d’attente cardiaque selon leurs caractéristiques (2018-2024)

Télécharger le fichier

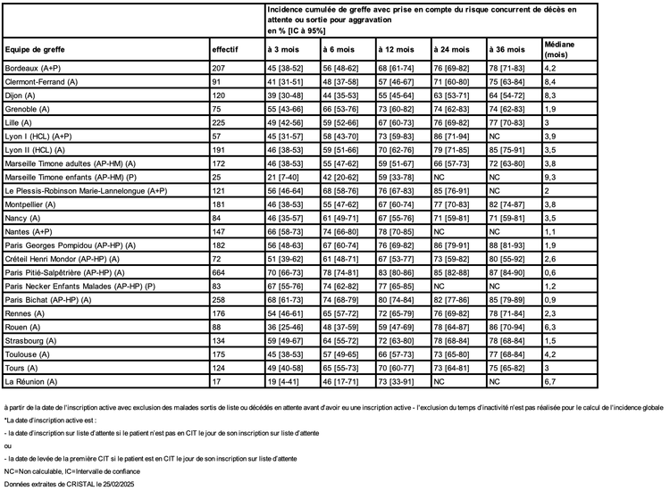
Tableau C8. Taux d'incidence cumulée de greffe des nouveaux inscrits sur liste d’attente cardiaque selon l'équipe de greffe (2018-2024)

Télécharger le fichier

Tableau C9. Evolution du nombre de décès sur la liste d’attente entre 2019 et 2024 chez les candidats en attente d’une greffe cardiaque

Télécharger le fichier

Prélèvement en vue de greffe

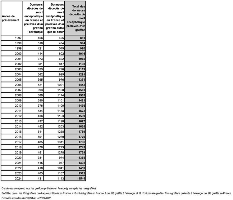
Tableau C11. Evolution du nombre de donneurs décédés en France et prélevés d’un greffon cardiaque parmi les donneurs prélevés d’au moins un organe

Télécharger le fichier

Tableau C12. Evolution de la répartition par âge des donneurs décédés prélevés d’un greffon cardiaque

Télécharger le fichier

Tableau C13. Age des donneurs de greffons cardiaques prélevés en France et greffés en France en 2023 et 2024 selon l'âge du receveur au moment de la greffe

Télécharger le fichier

Attribution des greffons

Tableau C14. Estimation de la médiane des scores de répartition en 2024 selon la composante d’allocation

Télécharger le fichier

Tableau C15. Répartition des exceptions au score national pour les greffés cardiaques en 2024

Télécharger le fichier

Tableau C15. Répartition des exceptions au score national pour les greffés cardiaques en 2024

Tableau C16. Evolution du nombre de greffes cardiaques (1986 - 2024)

Télécharger le fichier

Tableau C17. Evolution du nombre de greffes cardiaques par indication (pmh)

Télécharger le fichier

Tableau C18. Activité d’inscription et de greffe cardiaque par équipe en activité en 2024

Télécharger le fichier

Tableau C19. Evolution des durées moyennes d’ischémie froide en heure (hors dominos, greffes combinées et greffons sous machine de perfusion)

Télécharger le fichier

Survie post greffe

Figure C5. Courbe de survie du receveur après première greffe cardiaque (2004 - juin2023)

Télécharger le fichier

Figure C6. Courbe de survie du greffon après une première greffe cardiaque (2004 - juin 2023)

Télécharger le fichier

Figure C7. Courbes de survie du receveur selon la période de première greffe cardiaque

Télécharger le fichier

Figure C8. Courbes de survie du receveur après une première greffe cardiaque selon l'âge du receveur (2004-juin 2023)

Télécharger le fichier

Figure C9. Courbe de survie du receveur selon l'indication (2004-juin 2023)

Télécharger le fichier

Figure C10. Courbes de survie du receveur après première greffe cardiaque selon l'âge du donneur (2004-juin 2023)

Télécharger le fichier

Figure C11. Courbes de survie du receveur après première greffe cardiaque selon le score à la greffe hors appariement donneur/receveur (2018-juin 2023)

Télécharger le fichier

Tableau C20. Répartition des malades déclarés vivants, en fonction du délai écoulé depuis les dernières nouvelles : état de la base au 31 décembre 2024 des malades ayant eu une greffe cardiaque entre 2004 et 2023

Télécharger le fichier

Tableau C21. Estimation du nombre de malades porteurs d’un greffon cardiaque fonctionnel au 31 décembre 2024, par équipe de suivi

Télécharger le fichier

Malgré l’amélioration de l’exhaustivité des données de suivi des malades greffés cardiaques, il n’est pas possible d’obtenir le nombre de malades porteurs d’un greffon fonctionnel par simple interrogation de Cristal. Ainsi, l’estimation de ce nombre a été effectuée en deux étapes basées sur l’ancienneté des données de suivi du malade.


Dans un premier temps, nous avons dénombré les porteurs d’un greffon fonctionnel dans Cristal (malades déclarés vivants sans arrêt de fonction du greffon) dont les dernières nouvelles dataient de moins de 18 mois (suivi annuel obligatoire dans Cristal). Pour les malades qui n’avaient pas fait l’objet d’une déclaration de décès ou d’arrêt de fonction du greffon et dont les dernières nouvelles dataient de plus de 18 mois, le nombre de porteurs d’un greffon fonctionnel a été estimé en leur appliquant les taux de survie du greffon estimés sur la population globale.


Le nombre total de porteurs d’un greffon fonctionnel correspond à la somme de ces deux valeurs. Le chiffre ainsi estimé est encadré par deux bornes :


  • la borne inférieure correspond à l’hypothèse la plus pessimiste, selon laquelle les malades non suivis sont considérés comme en arrêt fonctionnel de greffon ou décédés. Cela signifie que seuls les greffés qui n’avaient pas fait l’objet d’une déclaration de décès ou d’arrêt de fonction du greffon au 31 décembre de l’année et dont les données de suivi dataient de moins de 18 mois étaient porteurs d’un greffon fonctionnel à cette date,

  • la borne supérieure correspond à l’hypothèse la plus optimiste, selon laquelle les malades non suivis sont considérés comme porteurs d’un greffon fonctionnel. En d’autres termes, tous les greffés qui n’avaient pas fait l’objet d’une déclaration de décès ou d’arrêt de fonction du greffon au 31 décembre de l’année, quelle que soit l’ancienneté des données de suivi, étaient vivants et porteurs d’un greffon fonctionnel à cette date.


Le nombre de malades porteurs d’un greffon fonctionnel est un indicateur important de la charge de travail des équipes médico-chirurgicales de greffe qui doivent assumer le suivi d’une cohorte chaque année grandissante de malades sous traitement immunosuppresseur. Le nombre de porteurs d'un greffon fonctionnel estimé au 31 décembre 2024 varie d'une équipe de suivi à l'autre de 0 à 856 malades. Les équipes exclusivement pédiatriques ont naturellement des niveaux d'activité plus bas.

Tableau C22. Dysfonction précoce du greffon* pour les greffes réalisées en 2024

Télécharger le fichier

Tableau C23. Traitement de désimmunisation dans le mois précédant la greffe réalisée en 2024

Télécharger le fichier

Tableau C24. Traitement de désimmunisation après la greffe réalisée en 2024

Télécharger le fichier

Evaluation de la survie post greffe cardiaque par équipe


La méthode de l’évaluation est détaillée dans le chapitre Organes.

Les résultats 1 an après la greffe


Les facteurs de risque d’échec 1 an après la greffe utilisés pour ajuster sur la gravité des receveurs sont : l’âge à la greffe, l’indice de masse corporelle, l’indication de greffe, un œdème des membres inférieurs et ascite clinique à la greffe, la mise sous AVK à l'inscription, le débit de filtration glomérulaire à la greffe (logarithme) et les ASAT à la greffe (>=80 UI/l). Le facteur donneur retenu est l’âge (50 ans).


Le taux d’échec ajusté dans une équipe est considéré comme significativement différent de la moyenne nationale s’il se trouve en dehors de l’intervalle de confiance à 99%. Les équipes peuvent être identifiées par les informations présentées dans le tableau ci-dessous.


Cette année, une équipe a un taux d’échec de greffe à 1 an significativement supérieur à la moyenne nationale et deux ont un taux significativement inférieur à la moyenne nationale.


Les équipes non représentées sur le graphe sont celles qui ont réalisé moins de 10 greffes ou présentent plus de 10% de perdus de vue.


Figure C12. Test statistique d’écart à la moyenne nationale du taux d’échec à 1 an ajusté: méthode du « funnel plot » pour les équipes de greffe cardiaque

Télécharger le fichier

Tableau C25. Test statistique d’écart à la moyenne nationale du taux d’échec ajusté à 1an : descriptif des équipes de greffes cardiaques

Télécharger le fichier

Les résultats 5 ans après la greffe


Les facteurs de risque d’échec à 5 ans après la greffe, utilisés pour ajuster sur la gravité des receveurs sont : l’âge à la greffe, l’indication de greffe, une assistance circulatoire à la greffe, un alcoolisme actif à l’inscription, le diabète à l'inscription, le débit de filtration à la greffe (logarithme).


Le facteur donneur retenu est l’âge (55 ans).


Le taux d’échec ajusté dans une équipe est considéré comme significativement différent de la moyenne nationale s’il se trouve en dehors de l’intervalle de confiance à 99%. Les équipes peuvent être identifiées par les informations présentées dans le tableau ci-dessous.


Cette année aucune équipe n’a un taux d’échec de greffe à 5 ans significativement supérieur à la moyenne nationale et 3 équipes ont un taux significativement inférieur à la moyenne nationale.


Les équipes non représentées sur le graphe sont celles qui ont réalisé moins de 10 greffes ou présentent plus de 10% de perdus de vue.


Figure C13. Test statistique d’écart à la moyenne nationale du taux d’échec à 5 ans : méthode du « funnel plot » pour les équipes de greffe cardiaque

Télécharger le fichier

Tableau C26. Test statistique d’écart à la moyenne nationale du taux d’échec ajusté à 5 ans : descriptif des équipes de greffes cardiaques

Télécharger le fichier

Activité régionale de la greffe cardiaque

Tableau C27. Activité d'inscription et de greffe en 2024 selon la région de domicile des candidats

Télécharger le fichier