Données : 2024

PDF

Greffe cardio-pulmonaire et pulmonaire pédiatrique

Les définitions des méthodes se trouvent dans la rubrique « Données générales et méthodes » : https://rams.agence-biomedecine.fr/greffe-dorganes-donnees-generales-et-methodes

Synthèse de l’activité

Depuis 1982, date de la première greffe cardio-pulmonaire, et 1987, date de la première greffe pulmonaire enregistrée dans Cristal, 125 greffes cardio-pulmonaires et 320 greffes de poumon ont été enregistrées chez des receveurs âgés de moins de 18 ans au moment de la greffe, ce qui représente l’expérience cumulée globale française en matière de greffe pulmonaire et cardio-pulmonaire pédiatrique. Sur l’ensemble du territoire national, au 31 décembre 2024, on estime à 2 le nombre de malades de moins de 18 ans porteurs d’un greffon cœur-poumons fonctionnel et à 21 celui des malades de moins de 18 ans porteurs d’un greffon pulmonaire fonctionnel.


L’année 2024 a été une année de rebond pour la greffe pulmonaire pédiatrique, comme elle l’a été pour la greffe pulmonaire en général, mais pour des raisons différentes. Le nombre de candidats pédiatriques inscrits en liste d’attente pendant l’année a augmenté de 150% et celui des greffés de 75%. Cette évolution, qui porte il est vrai sur des petits effectifs, s’explique en grande partie par une hausse d’activité, dans un centre, Necker-enfants malades. L’effet a porté aussi bien sur l’inscription en liste d’attente que sur la greffe. L’âge moyen des nouveaux candidats et des greffés était de 12 ans et 14 ans, respectivement. Plus des deux tiers (70%) des greffés étaient hospitalisés ou en soins intensifs au moment de leur inscription en attente. Trente pourcents des inscrits et 43% des greffés avaient comme indication une mucoviscidose, ce qui est très différent de ce qui a été observé chez les adultes. Alors que le nombre de donneurs en mort encéphalique pédiatriques prélevés d’un greffon pulmonaire a diminué, en 2024, de 21%, par rapport à 2023, 66% (4/6) des greffes pulmonaires pédiatriques ont été réalisées avec des greffons issus de donneurs adultes. Aucun prélèvement de greffon pulmonaire pédiatrique dans le cadre du programme Maastricht 3 n’a été réalisé en 2024. La greffe pulmonaire à partir de donneurs Maastricht 3 n’est quant à elle pas autorisée chez les candidats pédiatriques. La proportion de greffes pulmonaires réalisées en super-urgence, en 2024, chez les enfants, a été de 86%, ce qui est très supérieur à ce qui s’est passé chez les adultes. Le taux de survie à 1 an des receveurs pédiatriques de greffe pulmonaire a été de 80% pour les enfants opérés entre 2007 et 2023.


En 2024, il y a eu un prélèvement de greffon cardio-pulmonaire pédiatrique, greffé chez un adulte, aucune inscription en liste d’attente de greffe cardio-pulmonaire chez un enfant, ni aucune greffe cardio-pulmonaire pédiatrique.

Devenir des candidats en liste d’attente

Liste d'attente

Tableau PedPCP1a. Évolution du devenir des candidats inscrits en attente de greffe cardio-pulmonaire avant l'âge de 18 ans

Télécharger le fichier

Tableau PedPCP1b. Évolution du devenir des candidats inscrits en attente de greffe pulmonaire avant l'âge de 18 ans

Télécharger le fichier

Tableau PedPCP2a. Évolution des principaux indicateurs de pénurie des candidats inscrits en attente de greffe cardio-pulmonaire avant l'âge de 18 ans

Télécharger le fichier

Tableau PedPCP2b. Évolution des principaux indicateurs de pénurie des candidats inscrits en attente de greffe pulmonaire avant l'âge de 18 ans

Télécharger le fichier

Tableau PedPCP3. Caractéristiques démographiques des donneurs de poumon et de coeur-poumons, des candidats inscrits avant l'âge de 18 ans selon leur devenir en liste d'attente de greffe pulmonaire et cardio-pulmonaire en 2024

Télécharger le fichier

Tableau PedPCP4. Caractéristiques des candidats inscrits avant l'âge de 18 ans selon leur devenir en liste d'attente de greffe pulmonaire et cardio-pulmonaire en 2024

Télécharger le fichier

Tableau PedPCP5. Evolution du nombre de nouveaux candidats pédiatriques inscrits en attente d'une greffe pulmonaire ou cardio-pulmonaire selon l'indication

Télécharger le fichier

Devenir sur la liste d’attente

Figure PedPCP1 Taux d'incidence cumulée de greffe et de décès ou de sortie de liste d'attente de greffe cardio-pulmonaire pour aggravation des nouveaux inscrits entre 2014 et 2024 selon l'âge à l'inscription

(Exclusion du temps passé en liste inactive et des malades sortis de liste ou décédés en attente avant d'avoir eu une inscription active)
Télécharger le fichier

Figure PedPCP2. Taux d'incidence cumulée de greffe et de décès ou de sortie de liste d'attente de greffe pulmonaire pour aggravation des nouveaux inscrits entre 2019 et 2024 selon l'âge à l'inscription

(Exclusion du temps passé en liste inactive et des malades sortis de liste ou décédés en attente avant d'avoir eu une inscription active)
Télécharger le fichier

Figure PedPCP3 Figure PedPCP3. Taux d'incidence cumulée de greffe et de décès ou de sortie de liste d'attente de greffe pulmonaire pour aggravation des nouveaux inscrits selon la période d'inscription (1995-2024)

(Exclusion du temps passé en liste inactive et des malades sortis de liste ou décédés en attente avant d'avoir eu une inscription active)
Télécharger le fichier

Prélèvement en vue de greffe

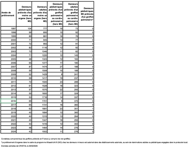
Tableau PedPCP6. Evolution du nombre de donneurs prélevés de greffons pulmonaires et cardiopulmonaires en France selon l'âge du donneur (depuis 1997)

Télécharger le fichier

Tableau PedPCP7. Evolution du nombre de greffons cardio-pulmonaires et pulmonaires pédiatriques prélevés en France et greffés selon l'âge du donneur

Télécharger le fichier

Tableau PedPCP8. Age des greffons pulmonaires et cardio-pulmonaires prélevés sur donneurs décédés et greffés en France en 2024 selon l'âge du receveur au moment de la greffe

Télécharger le fichier

Tableau PedPCP9b. Evolution des demandes de priorité pulmonaire chez les candidats pédiatriques (2019-2024)

Télécharger le fichier

Tableau PedPCP10. Devenir des candidats pédiatriques inscrits en liste pulmonaire un mois après la première demande de SU effectuée et acceptée en 2024

Télécharger le fichier

Tableau PedPCP11. Devenir des candidats selon la dernière priorité active par année de sortie de la liste d'attente de greffe pulmonaire (2019-2024)

Télécharger le fichier

Activité de greffe

Tableau PedPCP12. Evolution de l'activité de greffe pulmonaire et cardio-pulmonaire des malades inscrits en attente avant l'âge de 18 ans selon l'âge au moment de la greffe

Télécharger le fichier

Tableau PedPCP13. Evolution du nombre de malades pédiatriques greffés d'une greffe pulmonaire ou cardio-pulmonaire selon l'indication

Télécharger le fichier

Tableau PedPCP14. Activité de greffe cardio-pulmonaire et pulmonaire en 2024 par équipe chez les malades âgés de moins de 18 ans au moment de l'inscription

Télécharger le fichier

Tableau PedPCP15. Evolution du nombre de greffes cardio-pulmonaires et pulmonaires par équipe chez des malades inscrits avant l'âge de 18 ans

Télécharger le fichier

Survie post greffe

Tableau PedPCP16a. Estimation du nombre de malades porteurs d’un greffon cardio-pulmonaire fonctionnel au 31 décembre 2024, par équipe de suivi

Télécharger le fichier

Tableau PedPCP16a. Estimation du nombre de malades porteurs d’un greffon cardio-pulmonaire fonctionnel au 31 décembre 2024, par équipe de suivi

Télécharger le fichier

Figure PedPCP4. Courbes de survie du receveur pédiatrique après greffe cardio-pulmonaire selon la période de greffe (1987-juin 2023)

Télécharger le fichier

Figure PedPCP5. Courbes de survie du receveur pédiatrique après greffe pulmonaire selon la période de greffe (1988-juin 2023)

Télécharger le fichier