Organes Greffe cardio-pulmonaire et pulmonaire

Depuis 1982, date de la première greffe cardio-pulmonaire, et 1987, date de la première greffe pulmonaire enregistrée dans Cristal, 956 greffes cardio-pulmonaires et 7 312 greffes de poumon ont été enregistrées, ce qui représente l’expérience cumulée globale française en matière de greffe pulmonaire et cardio-pulmonaire. Sur l’ensemble du territoire national, au 31 décembre 2024, on estime à 143 le nombre de porteurs d’un greffon cœur-poumons fonctionnel et à 3 098 celui des porteurs d’un greffon pulmonaire fonctionnel.

L’année 2024 a été une année de rebond de l’activité de greffe pulmonaire avec une hausse du nombre de greffes de 8% (4,8 greffes pmh), qui s’explique par l’augmentation du nombre de greffons pulmonaires issus de donneurs Maastricht 3 prélevés et greffés (+108%). L’augmentation du prélèvement pulmonaire chez les donneurs Maastricht 3 (+67%) a été plus importante que l’augmentation du nombre de donneurs Maastricht 3 prélevés d’au moins un organe (+12%). Le prélèvement pulmonaire chez les donneurs en mort encéphalique est resté quasiment inchangé (-1%). Ainsi en 2024, 84,5% des greffes pulmonaires ont été réalisées avec des greffons issus de donneurs en mort encéphalique et 15,5% avec des greffons issus de donneurs Maastricht 3. Le nombre de greffes réalisées avec des poumons réhabilités sur machine à perfusion a augmenté en 2024 (70 vs 40 en 2023) essentiellement du fait de l’augmentation des greffes faites à partir de donneurs Maastricht 3.

 Le nombre de nouveaux inscrits a, pour sa part, augmenté de 3%. L’emphysème-BPCO est devenu la première indication d’inscription en liste d’attente (45%) et de greffe (45%) devant la fibrose pulmonaire (38% et 39%, respectivement). L’agence de la biomédecine participe à une évaluation des besoins en greffe pulmonaire, dans le cadre du PREPS, à partir de la base de données de l’Assurance Maladie. La proportion des candidats âgés de plus de 55 ans a légèrement augmenté (59% vs 54% en 2023). Alors que l’accès à la greffe et la survie en attente n’ont pas changé ces 10 dernières années par rapport à la période précédente, le nombre de patients décédés en liste ou sortis de liste pour aggravation a augmenté de 30% en 2024 par rapport à 2023 (30 vs 23). Le taux d’incidence de décès et de décès ou sortie de liste pour aggravation était, par ailleurs, en 2024, de 21 pour 100 patients années (15 en 2023). La diminution du nombre de demandes de super-urgence (SU) pulmonaire et de la proportion de greffes pulmonaires réalisées en SU en 2024 peuvent être dues à l’augmentation du nombre de candidats avec un emphysème-BPCO, qui ne bénéficient pas d’une SU. Le taux de survie à 1 an des receveurs de greffe pulmonaire a été de 83% pour ceux opérés pour un emphysème-BPCO, de 79% pour ceux opérés pour une maladie vasculaire pulmonaire et de 72,5% pour ceux opérés pour une fibrose pulmonaire, entre 2004 et 2023.

Alors que le nombre de nouveaux candidats à une greffe cardio-pulmonaire a diminué en 2024 (6 vs 10 candidats en 2023), le nombre de greffes est resté inchangé (n=9, 0,1 greffe pmh). L’indication exclusive d’inscription en liste d’attente a été le syndrome d’Eisenmenger. L’accès à la greffe est resté faible pour les candidats non prioritaires (incidence cumulée de greffe à 1 an de 46%). Le nombre de demandes de priorité (super-urgence) n’a pas changé en 2024 par rapport à 2023 mais le nombre de greffes réalisées dans le cadre d’une SU a diminué (67% vs 100%). Le taux de survie à 1 an des receveurs de greffe cardio-pulmonaire opérés en SU et sans priorité a été semblable pour les greffés entre 2007 et 2023 (70% vs 69%). Depuis début 2025, le classement des candidats non-prioritaires à une greffe cardio-pulmonaire a évolué. Ces candidats sont insérés au sein de la liste d’attente de greffe cardiaque juste après les candidats à une greffe cardiaque ayant un score final supérieur ou égal à 600 points.

Liste d’attente

TableauPCP1a. Évolution du devenir des candidats en greffe cardio-pulmonaire
Tableau PCP1b. Évolution du devenir des candidats en greffe pulmonaire
Tableau PCP2a. Évolution des principaux indicateurs de pénurie en greffe cardio-pulmonaire
Tableau PCP2b. Évolution des principaux indicateurs de pénurie en greffe pulmonaire
Tableau PCP3a. Caractéristiques démographiques des donneurs de greffon cardio-pulmonaire et des candidats inscrits selon leur devenir en liste d'attente de greffe cardio-pulmonaire en 2024
Tableau PCP3b. Caractéristiques démographiques des donneurs de greffon pulmonaire et des candidats inscrits selon leur devenir en liste d'attente de greffe pulmonaire en 2024
Tableau PCP4a. Caractéristiques des candidats inscrits selon leur devenir en liste d'attente de greffe cardio-pulmonaire en 2024
Tableau PCP4b. Caractéristiques des candidats inscrits selon leur devenir en liste d'attente de greffe pulmonaire en 2024
Tableau PCP5. Evolution du nombre de nouveaux inscrits en attente d'une greffe pulmonaire et cardio-pulmonaire selon l’indication

Devenir en liste d’attente 

Tableau PCP6a. Evolution sur les trois premières années du devenir des malades inscrits pour la première fois en liste d'attente cardio-pulmonaire en 2021 (N= 4)
Tableau PCP6b. Evolution sur les trois premières années du devenir des malades inscrits pour la première fois en liste d'attente pulmonaire en 2021 (N= 333)
Figure PCP1a. Taux d'incidence cumulée de greffe et de décès ou de sortie de liste d'attente de greffe cardio-pulmonaire pour aggravation des nouveaux inscrits selon la période d'inscription (1995-2024)
(Exclusion du temps passé en liste inactive et des malades sortis de liste ou décédés en attente avant d'avoir eu une inscription active)
Figure PCP1b. Taux d'incidence cumulée de greffe et de décès ou de sortie de liste d'attente de greffe pulmonaire pour aggravation des nouveaux inscrits selon la période d'inscription (1995-2024)
(Exclusion du temps passé en liste inactive et des malades sortis de liste ou décédés en attente avant d'avoir eu une inscription active)
PCP7 Taux d'incidence cumulée de greffe des nouveaux inscrits sur liste d’attente pulmonaire selon leurs caractéristiques (2019-2024)
(à partir de la date de l'inscription active avec exclusion des malades sortis de liste ou décédés en attente avant d'avoir eu une inscription active -l'exclusion du temps d’inactivité n'est pas réalisée pour le calcul de l'incidence globale)
Tableau PCP8. Taux d'incidence cumulée de greffe des nouveaux inscrits sur liste d’attente pulmonaire selon l'équipe de greffe (2019-2024)
(Exclusion du temps passé en liste inactive et des malades sortis de liste ou décédés en attente avant d'avoir eu une inscription active)
Figure PCP2a. Taux d'incidence cumulée de greffe et de décès ou de sortie de liste d'attente de greffe cardio-pulmonaire pour aggravation des nouveaux inscrits (2019-2024)
Figure PCP2b. Taux d'incidence cumulée de greffe et de décès ou de sortie de liste d'attente de greffe pulmonaire pour aggravation des nouveaux inscrits (2019-2024)
Figure PCP3a. Taux d'incidence cumulée de greffe et de décès ou de sortie de liste d'attente de greffe cardio-pulmonaire pour aggravation des nouveaux inscrits (2019-2024)
(Exclusion du temps passé en liste inactive et des malades sortis de liste ou décédés en attente avant d'avoir eu une inscription active)
Figure PCP3b. Taux d'incidence cumulée de greffe et de décès ou de sortie de liste d'attente de greffe pulmonaire pour aggravation des nouveaux inscrits (2019-2024)
(Exclusion du temps passé en liste inactive et des malades sortis de liste ou décédés en attente avant d'avoir eu une inscription active)
Figure PCP4a. Taux d'incidence cumulée de greffe et de décès ou de sortie de liste d'attente de greffe cardio-pulmonaire pour aggravation des nouveaux inscrits selon la priorité au moment de l'évènement (2019-2024)
(Exclusion du temps passé en liste inactive et des malades sortis de liste ou décédés en attente avant d'avoir eu une inscription active)
Figure PCP4b. Taux d'incidence cumulée de greffe et de décès ou de sortie de liste d'attente de greffe pulmonaire pour aggravation des nouveaux inscrits selon la priorité au moment de l'évènement (2019-2024)
(Exclusion du temps passé en liste inactive et des malades sortis de liste ou décédés en attente avant d'avoir eu une inscription active)
Figure PCP5a. Taux d'incidence cumulée de greffe et de décès ou de sortie de liste d'attente de greffe cardio-pulmonaire pour aggravation des nouveaux inscrits selon l'indication (2019-2024)
(Exclusion du temps passé en liste inactive et des malades sortis de liste ou décédés en attente avant d'avoir eu une inscription active)
Figure PCP5b. Taux d'incidence cumulée de greffe et de décès ou de sortie de liste d'attente de greffe pulmonaire pour aggravation des nouveaux inscrits selon l'indication (2019-2024)
(Exclusion du temps passé en liste inactive et des malades sortis de liste ou décédés en attente avant d'avoir eu une inscription active)
Tableau TPCP9. Evolution du nombre de décès sur la liste d’attente de greffe cardio-pulmonaire et pulmonaire entre 2019 et 2024
Tableau TPCP10. Evolution du nombre de décès ou de sortie pour aggravation sur la liste d’attente de greffe cardio-pulmonaire et pulmonaire entre 2019 et 2024
Tableau TPCP11. Evolution du nombre de donneurs en état de mort encéphalique ou après arrêt cardiaque en France et prélevés d’un greffon cardio-pulmonaire ou pulmonaire parmi les donneurs prélevés d’au moins un greffon (1997-2024)
Tableau PCP12. Evolution de la répartition par âge des donneurs décédés en mort encéphalique prélevés d’un greffon cardio-pulmonaire ou pulmonaire
Tableau PCP13a. Age des donneurs de greffons cardio-pulmonaires prélevés et greffés en France en 2024 selon l'âge du receveur au moment de la greffe
Tableau PCP13b. Age des donneurs de greffons pulmonaires décédés en mort encéphalique prélevés et greffés en France en 2024 selon l'âge du receveur au moment de la greffe
Tableau PCP14a. Evolution des demandes de priorité cardio-pulmonaire (2019-2024)
Tableau PCP14b. Evolution des demandes de priorité pulmonaire (2019-2024)
Tableau PCP15a. Devenir des candidats inscrits en liste cardio-pulmonaire un mois après la première demande de SU effectuée et acceptée en 2024
Tableau PCP15b. Devenir des candidats inscrits en liste pulmonaire un mois après la première demande de SU effectuée et acceptée en 2024
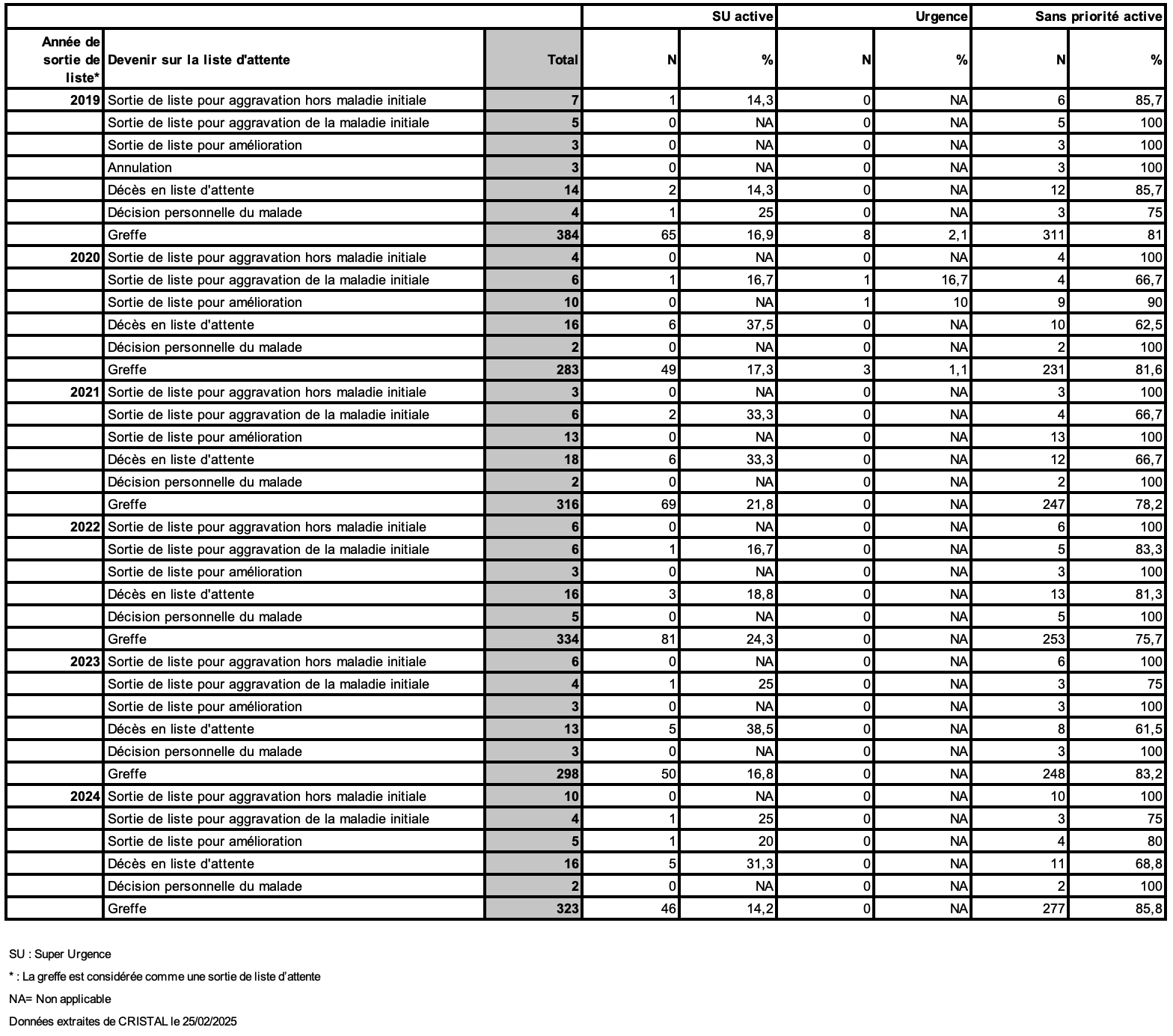
Tableau PCP16a. Devenir des candidats selon la dernière priorité active par année de sortie de la liste d'attente de greffe cardio-pulmonaire (2019-2024)
Tableau PCP16b. Devenir des candidats selon la dernière priorité active par année de sortie de la liste d'attente pulmonaire (2019-2024)
Tableau PCP17a. Caractéristiques des malades inscrits en liste d’attente de greffe cardio-pulmonaire avec une demande de super-urgence acceptée en 2024
Tableau PCP17b. Caractéristiques des malades inscrits en liste d’attente de greffe pulmonaire avec une demande de super-urgence acceptée en 2024
Tableau PCP18. Evolution de l’activité de greffe pulmonaire et cardio-pulmonaire
Tableau PCP19. Evolution des indications de greffe des malades greffés d'un poumon ou d'un cœur-poumons
Tableau PCP20a. Activité cardio-pulmonaire par équipe en activité en 2024
Tableau PCP20b. Activité pulmonaire par équipe en activité en 2024
Figure PCP6. Courbes de survie du receveur selon le type de greffe (première greffe en 2004-juin 2023)
Figure PCP7. Courbes de survie du greffon selon le type de greffe (greffe en 2004-juin 2023)
Figure PCP8a. Courbes de survie du receveur cardio-pulmonaire selon la période de greffe
Figure PCP8b. Courbes de survie du receveur pulmonaire selon la période de greffe
Figure PCP9a. Courbes de survie du receveur après greffe cardio-pulmonaire selon la pathologie (première greffe en 2004-juin 2023)
Figure PCP9b. Courbes de survie du receveur après greffe pulmonaire selon la pathologie (première greffe en 2004-juin 2023)
Figure FPCP10a. Courbes de survie du receveur cardio-pulmonaire selon la priorité (2007 - juin 2023)
Figure FPCP10b. Courbes de survie du receveur pulmonaire selon la priorité (2007 - juin 2023)
Figure PCP11a. Courbes de survie du receveur cardio-pulmonaire selon l'âge du donneur (2004 - juin 2023)
Figure PCP11b. Courbes de survie du receveur pulmonaire selon l'âge du donneur (2004 - juin 2023)
Tableau TPCP21a. Répartition des malades déclarés vivants, en fonction du délai écoulé depuis les dernières nouvelles : état de la base au 31 décembre 2024 des malades ayant eu une greffe cardio-pulmonaire entre 2004 et 2023
Tableau TPCP21b. Répartition des malades déclarés vivants, en fonction du délai écoulé depuis les dernières nouvelles : état de la base au 31 décembre 2024 des malades ayant eu une greffe pulmonaire entre 2004 et 2023
Tableau PCP22a. Estimation du nombre de malades porteurs d’un greffon cardio-pulmonaire fonctionnel au 31 décembre 2024, par équipe de suivi

Malgré l’amélioration de l’exhaustivité des données de suivi des patients greffés cardio-pulmonaires, il n’est pas possible d’obtenir le nombre de patients porteurs d’un greffon fonctionnel par simple interrogation de Cristal. En effet, au 31 décembre 2024, 6,4% des malades greffés cardio-pulmonaires entre 2004 et 2023 restaient sans nouvelles depuis plus d’un an. Ainsi, l’estimation de ce nombre a été effectuée en deux étapes basées sur l’ancienneté des données de suivi du patient.

Dans un premier temps, nous avons dénombré les porteurs d’un greffon fonctionnel dans Cristal (patients déclarés vivants sans arrêt de fonction du greffon) dont les dernières nouvelles dataient de moins de 18 mois (suivi annuel obligatoire dans Cristal). Pour les patients qui n’avaient pas fait l’objet d’une déclaration de décès ou d’arrêt de fonction du greffon et dont les dernières nouvelles dataient de plus de 18 mois, le nombre de porteurs d’un greffon fonctionnel a été estimé en leur appliquant les taux de survie du greffon estimés sur la population globale. 

Le nombre total de porteurs d’un greffon fonctionnel correspond à la somme de ces deux valeurs. Le chiffre ainsi estimé est encadré par deux bornes :

  • la borne inférieure correspond à l’hypothèse la plus pessimiste, selon laquelle les malades non suivis sont considérés comme en arrêt fonctionnel de greffon.

Cela signifie que seuls les greffés qui n’avaient pas fait l’objet d’une déclaration de décès ou d’arrêt de fonction du greffon au 31 décembre de l’année et dont les données de suivi dataient de moins de 18 mois étaient porteurs d’un greffon fonctionnel à cette date ;

  • la borne supérieure correspond à l’hypothèse la plus optimiste, selon laquelle les malades non suivis sont considérés comme porteurs d’un greffon fonctionnel.

En d’autres termes, tous les greffés qui n’avaient pas fait l’objet d’une déclaration de décès ou d’arrêt de fonction du greffon au 31 décembre de l’année, quelle que soit l’ancienneté des données de suivi, étaient vivants et porteurs d’un greffon fonctionnel à cette date.

Le nombre de malades porteurs d’un greffon fonctionnel est un indicateur important de la charge de travail des équipes médico-chirurgicales de greffe qui doivent assumer le suivi d’une cohorte chaque année grandissante de malades sous traitement immunosuppresseur. Le nombre estimé de porteurs de greffon cœur-poumons fonctionnel en France est de 143 au 31 décembre 2024.

Tableau PCP22b. Estimation du nombre de malades porteurs d’un greffon pulmonaire fonctionnel au 31 décembre 2024, par équipe de suivi

Malgré l’amélioration de l’exhaustivité des données de suivi des patients greffés pulmonaires, il n’est pas possible d’obtenir le nombre de patients porteurs d’un greffon fonctionnel par simple interrogation de Cristal. En effet, au 31 décembre 2024, 9,9% des malades greffés pulmonaires entre 2004 et 2023 restaient sans nouvelles depuis plus d’un an. Ainsi, l’estimation de ce nombre a été effectuée en deux étapes basées sur l’ancienneté des données de suivi du patient.

Dans un premier temps, nous avons dénombré les porteurs d’un greffon fonctionnel dans Cristal (patients déclarés vivants sans arrêt de fonction du greffon) dont les dernières nouvelles dataient de moins de 18 mois (suivi annuel obligatoire dans Cristal). Pour les patients qui n’avaient pas fait l’objet d’une déclaration de décès ou d’arrêt de fonction du greffon et pour lesquels il n’y avait pas de mise à jour depuis plus de 18 mois, le nombre de porteurs d’un greffon fonctionnel a été estimé en leur appliquant les taux de survie du greffon estimés sur la population globale. 

Le nombre total de porteurs d’un greffon fonctionnel correspond à la somme de ces deux valeurs. Le chiffre ainsi estimé est encadré par deux bornes :

  • la borne inférieure correspond à l’hypothèse la plus pessimiste, selon laquelle les malades non suivis sont considérés comme en arrêt fonctionnel de greffon.

Cela signifie que seuls les greffés qui n’avaient pas fait l’objet d’une déclaration de décès ou d’arrêt de fonction du greffon au 31 décembre de l’année et dont les données de suivi dataient de moins de 18 mois étaient porteurs d’un greffon fonctionnel à cette date ;

  • la borne supérieure correspond à l’hypothèse la plus optimiste, selon laquelle les malades non suivis sont considérés comme porteurs d’un greffon fonctionnel.

En d’autres termes, tous les greffés qui n’avaient pas fait l’objet d’une déclaration de décès ou d’arrêt de fonction du greffon au 31 décembre de l’année, quelle que soit l’ancienneté des données de suivi, étaient vivants et porteurs d’un greffon fonctionnel à cette date.

Le nombre de malades porteurs d’un greffon fonctionnel est un indicateur important de la charge de travail des équipes médico-chirurgicales de greffe qui doivent assumer le suivi d’une cohorte chaque année grandissante de malades sous traitement immunosuppresseur. Le nombre estimé de porteurs de greffon pulmonaire fonctionnel en France est de 3 098 au 31 décembre 2024.

Tableau PCP23. Dysfonction précoce du greffon pulmonaire pour les greffes réalisées en 2024
Tableau PCP24. Traitement de désimmunisation dans le mois précédent la greffe cardio-pulmonaire ou pulmonaire réalisée en 2024
Tableau PCP25. Traitement de désimmunisation après la greffe cardio-pulmonaire ou pulmonaire réalisée en 2024

Évaluation de la survie post greffe pulmonaire par équipe 

La méthode de l’évaluation est détaillée dans le chapitre Organes.  

Les résultats 1 an après la greffe 

Les facteurs de risque d’échec de greffe dans l’année qui suit la greffe, utilisés pour ajuster sur la gravité des receveurs sont : l’âge, l’indication de greffe, le diabète (Bilan d’inscription), le débit de filtration glomérulaire à la greffe (< 60 ml/min/1,73m²). Le facteur de risque lié au donneur est l’âge et le facteur lié à la greffe est la durée d’ischémie et la mise sous machine de perfusion.

Les greffes exclues de l’analyse sont les greffes réalisées à partir de donneurs décédés après arrêt cardiaque Maastricht III et les greffes réalisées à partir de donneurs prélevés à l’étranger.

Le taux d’échec ajusté d’une équipe est considéré comme significativement différent de la moyenne nationale s’il se trouve en dehors de l’intervalle de confiance à 99%. Les équipes peuvent être identifiées par les informations présentées dans le tableau ci-dessous.

Cette année, aucune équipe n’a un taux d’échec à 1 an de greffe significativement inférieur à la moyenne nationale et aucune n’a un taux d’échec à 1 an significativement supérieur à la moyenne nationale. 

Les équipes non représentées sur le graphe sont celles qui ont réalisé moins de 10 greffes ou présentent plus de 10% de perdus de vue.

 

Figure PCP12. Test statistique d’écart à la moyenne nationale du taux d’échec ajusté à un an : méthode du « funnel plot » pour les équipes de greffe pulmonaire

Les résultats 3 ans après la greffe 

Les facteurs de risque d’échec 3 ans après la greffe, utilisés pour ajuster sur la gravité des receveurs sont : l’âge à la greffe, l’indice de masse corporelle, l’indication de greffe, le volume expiratoire maximum par seconde (juste avant la greffe) et la durée d’attente sur la liste. Le facteur lié à la greffe est la mise sous machine de perfusion et les caractéristiques du donneur n’ont pas été utilisées.

Le taux d’échec ajusté d’une équipe est considéré comme significativement différent de la moyenne nationale s’il se trouve en dehors de l’intervalle de confiance à 99%. Les équipes peuvent être identifiées par les informations présentées dans le tableau ci-dessous.

Cette année, une équipe a un taux d’échec à 3 ans de greffe significativement inférieur à la moyenne nationale. Aucune équipe n’a un taux d’échec à 3 ans de greffe significativement supérieur à la moyenne nationale.

Les équipes non représentées sur le graphe sont celles qui ont réalisé moins de 10 greffes ou présentent plus de 10% de perdus de vue.

 

Figure PCP13. Test statistique d’écart à la moyenne nationale du taux d’échec à 3 ans : méthode du « funnel plot » pour les équipes de greffe pulmonaire
Tableau PCP26. Activité d'inscription et de greffe en 2024 selon la région de domicile des candidats